
锂作为21世纪的主要战略资源,因其在锂离子电池(LIB)生产中的重要性而被称为“白色石油”。过去十年来里,随着锂电行业的快速发张,全球对锂资源需求增加了6倍,且预计到2050年,锂需求将增长8-10倍。因此,发展可持续的锂资源供应对全球锂离子电池产业和能源结构转型至关重要。海水和盐湖水中锂资源是陆地硬岩石的10000倍,而如何从复杂的海水、盐湖体系中选择性提锂至关重要。
【论文概要】
具有精确Li+和Mg2+分离的吸附剂在从低质量盐水中提取锂以缓解锂供应短缺方面具有巨大潜力。沸石因其独特的阳离子交换能力,已成为废水中重金属吸附的优良吸附剂。在此,我们利用Li+和Mg2+之间离子交换动力学差异来实现高效的锂提取。从离子脱水、离子迁移和离子交换三个步骤出发,揭示了Li+和Mg2+在沸石中的交换途径以及每个步骤所需的能量差异。并对沸石再生周期、批量合成和颗粒性能进行了研究,突出了其在实际盐水中提锂的潜在价值。

【图文解读】
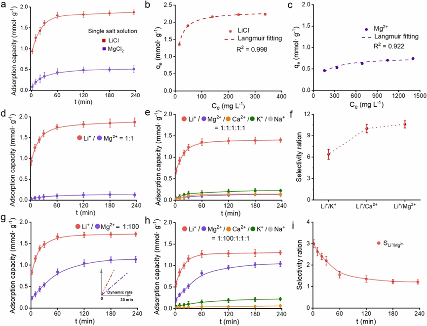
通过简单的水热法合成沸石吸附剂,并直接用于离子交换过程。沸石吸附剂在低Li+浓度下(<100 mg/L)表现出高的锂吸附容量(1.9 mmol/g)。在Mg/Li比为100的竞争吸附中,也展现出高的Li+/Mg2+选择性,实现高效Li+捕获。与其他吸附剂相比,沸石吸附剂可以有效地从低浓锂液中捕获锂,并保持高的Li+吸附能力。

从离子吸附动力学和等温线研究中,表征了沸石的吸附行为。对于Li+吸附,沸石表现出快速的交换过程,而对Mg2+吸附动力学相对较慢。不论是单组份动力学研究还是竞争吸附测试中,均表现出优先吸锂的特性。在对温度的研究中表明 Mg2+在沸石上离子交换需要更多的能量。此外,在模拟实际盐湖Li/Mg/Ca/K/Na 溶液中,沸石吸附剂依旧表现出选择性提锂的能力。

为了探索沸石的优先提取Li+能力,我们分析了在离子交换过程中的三个重要步骤:i)离子脱水;ii)离子迁移;iii)离子交换。通过评估离子脱水能、离子迁移能垒和离子交换能垒三个步骤所需的能量,揭示了沸石吸附剂对Li+和Mg2+的吸附行为。

【结论】
总之,通过控制沸石离子交换动力学速率来实现对低浓度Li+的选择性捕获。在锂浓度< 100 mg∙L-1和Li/Mg>100下,能选择性吸附2.7 mmol∙g-1 的Li+,超过了大多数吸附剂。计算了离子脱水、离子迁移和离子交换能垒,证实沸石上Li+交换需要比Mg2+更少的能量才能快速进入孔隙。此外,易于合成、成本低和颗粒性能好的优点使其具有进一步工业应用的潜力。我们认为,沸石吸附剂有潜力成为一种极具竞争力、无污染和可持续的锂提取吸附剂,以应对从低质量盐水中高效提锂所面临的挑战。
该工作得到了国家自然科学基金的支持,论文通讯作者为实验室杨江峰教授,2023级博士生王佳一为论文第一作者。论文信息:Jiayi Wang, Yichen Hao, Jinping Li, Jiangfeng Yang*. Precise Li+ and Mg2+ separation enabled by sodalite ion exchange contribute to the lithium extraction from low-quality brines. J. Hazard. Mater. 2025, 498, 139942, DOI: 10.1016/j.jhazmat.2025.139942.